工作动态
所有金属元素都具有潜在的毒性,尽管很多金属元素是有机体生长所必需的。近些年,钡、锶、钛等微量金属元素也因为其对环境和人类健康的不利影响也像其他重金属一样受到了高度的关注。一些常量金属元素,如钠、钾、钙等,当其浓度超过一定值时,也会对有机体产生毒性作用。富营养化湖泊不仅要承受着氮、磷营养盐过量输入的问题,还要承受着金属污染的风险。从过去单纯的自然输入到现在的自然输入和人为排放双重影响,无论是常量金属还是微量金属元素都在源源不断的汇入到湖泊中,给人类健康和生态安全带来很多潜在的威胁,尤其是发展中国家,金属污染问题更甚。
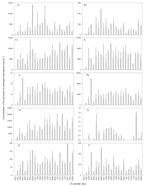
武汉植物园湿地生态学科组邢伟博士等在刘贵华研究员的指导下,对我国长江流域24个富营养化湖泊十种金属元素(铝、钡、钙、钾、锂、镁、钠、硒、锶、钛)在水、沉积物和沉水植物中的分布与积累情况进行了流域尺度上的研究。结果表明,由于人为活动的影响,上述十种金属元素在湖泊水体和底泥中的含量均较高。铝和钠元素在沉水植物中的平均积累含量相对较高;金鱼藻(Ceratophyllumdemersum)和大茨藻(Najas marina)较其他沉水植物能积累多种金属元素,如钡、钙、钾、镁、钠、锶、钛等。沉水植物体内锂、镁、钠。锶元素与水体也成显著的正相关。该研究结果可为我国开展流域湖泊金属污染的防控工作提供基础数据和理论指导。
该研究得到国家自然科学基金(31000163)、国家水专项(2012ZX07103003)及中科院青促会的资助。研究成果“Metal accumulation by submerged macrophytes in eutrophiclakes at the watershed scale”已在环境领域期刊Environmental Science andPollution Research上在线发表(DOI 10.1007/s11356-013-1854-z)。
论文链接
沉水植物体内十种金属元素的平均含量在湖泊水平上的比较
科技服务