工作动态
鞭寄生属(Hydnora)是非洲和阿拉伯半岛南部半干旱地区一类无叶的寄生植物,属于被子植物基部类群。目前,该属记载有8种,其中7种在非洲,1种在阿拉伯半岛。本属中,H. abyssinica A.Br. (图1)和 H. africana Thunb分布较广。该属植物被广泛应用于民间医学中,但它们的传统用途和药理价值却鲜有文献记载。武汉植物园东非植物区系与分类学科组研究团队对鞭寄生属物种的分布、民族植物学、化学和药理学等方面进行了文献调研和总结,指出鞭寄生属物种研究领域中存在的空白和不足,对进一步研究其开发利用和保护有重要意义。
通过文献和标本查阅,确认南非、马达加斯加、乌干达、莫桑比克、斯威士兰、博茨瓦纳、肯尼亚、苏丹、埃塞俄比亚、坦桑尼亚、安哥拉、索马里、纳米比亚和阿拉伯半岛都有鞭寄生属植物分布(图2)。其分布与宿主植物密切相关,分布范围随寄主而增大。然而,这些物种对宿主依赖性的变化机制还尚未被揭示,它们是交换了帮助进行代谢活动的基因,还是完全依赖宿主获得营养,有待进一步研究。
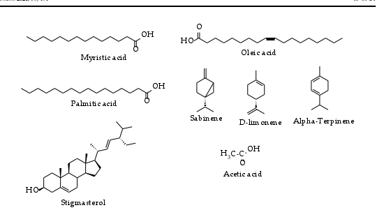
鞭寄生属植物被发现有民族植物学和其他用途。该属植物是野生动物的食物来源之一,尤其是果实。在苏丹,其干燥的根被用于制备木炭和皮革。此外,它与其他药用植物一起用于治疗各种疾病,如瘫痪、糖尿病、发烧、失眠、高血压等。由于它富含单宁,它也常被用作治疗腹泻的传统药物。了解鞭寄生属植物的化学成分和含量是考证其药理学用途的必要条件。目前,仅有几项关于该属植物的药理意义及化学成分的研究。Hydnora abyssinica 是该属中唯一被广泛探索的物种。通过气相色谱-质谱联用法分析了H. abyssinica中少数具有药理作用的化合物,包括豆蔻酸、油酸、棕榈酸、萜烯等(图3)。此外,利用核磁共振阐明了某些组分的结构,如儿茶素、香兰素和原儿茶酸等(图4)。同样,没有对该属其他物种进行植物化学的研究,这是进一步探索的机会。
研究表明,鞭寄生属植物具有良好的抗菌和抗氧化活性。该物种所描述的抗氧化还原潜力可能与早期报道的酚类、黄酮类和单宁的高含量有关。此外,该属植物有抗增殖活性,在治疗癌症方面有应用潜力。Hydnora abyssinica与其他药用植物一起使用,还可以提高其治疗疾病的疗效。例如:其与Justicia exigua S. Moore的叶片组合,被用于治疗瘫痪;与Passiflora edulis Sims的叶片组合,用于治疗痔疮等。然而,这些组合的临床应用尚未得到证实,物种背后的药理作用机制也不明晰,还有很大的研究空间。
研究成果以“Understanding the Ethnobotany, Chemistry, Pharmacology, and Distribution of Genus Hydnora (Aristolochiaceae)”为题,近期在国际植物学期刊《Plants》上发表。这项工作得到了中-非联合研究中心的支持。
论文链接: https://doi.org/10.3390/plants10030494

图1. 鞭寄生属(Hydnora)植物Hydnora abyssinica A.Br.
图2 非洲和阿拉伯半岛的Hydnora物种分布
图3 采用气相色谱-质谱联用法(GC-MS)分析Hydnora abyssinica的化学结构
图4 从 Hydnora abyssinica中分离出的化合物的化学结构
科技服务