首页 >> 科技服务 >> 工作动态

工作动态

武汉岩土所非光滑屈服曲面的子空间跟踪方法研究取得进展

发表日期:2021-07-05来源:武汉岩土力学研究所放大 缩小

  由于其简单性,Mohr-Coulomb (M-C)准则和Hoek-Brown (H-B)准则在岩土材料失效描述中得到了广泛应用,研究人员利用这两种准则建立了大量问题的解析解。但是,由于主应力次序发生交换导致的屈服面非光滑问题给数值分析带来一定的困难,如图1所示。 

 

图1 主应力空间的Mohr-Coulomb和Hoek-Brown屈服面 

  最近,中国科学院武汉岩土力学研究所计算岩石力学学科方向组提出了一种简单的方法从根本上解决了这一问题。 

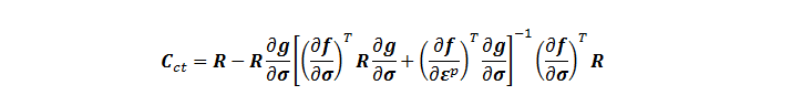
  由Taylor公式可知,主应力应连续光滑地依赖于应力张量的分量,本研究采用信号处理中广泛应用的子空间跟踪方法对主应力的大小及方向进行跟踪,从而可以连续地追踪主应力的变化过程,克服了主应力的交换,使得如下的弹塑性系统方程组中的塑性应变增量将是加载过程的光滑函数,从而消除了角点问题。 

      

此外,还得到了如下多屈服面一致切线矩阵: 

 

从下图可以看出,一致性切线的收敛速度为二次收敛速度。 

 

图2连续切线与一致切线收敛速度的比较 

  研究分析了三个经典算例:三维单元边值问题、带软弱夹层的二维边坡及三维土质边坡的边值问题,算例表明该方法可以很好地解决多屈服面的本构积分问题。其中三维边坡算例如下: 

 

图3 临界状态下的等效塑性应变 

  

图4 三维边坡强度折减系数与无量纲位移 

  需要指出的是,所提出的方法也可用于其他多屈服面准则,如拉伸截断的Mohr-Coulomb模型、盖帽模型等。 

  该项研究最近发表在Computers and Mathematics with Applications杂志上。 

(文/图 计算岩石力学组)

附件: