工作动态
我国是能源消费大国,目前超过70%的石油,43%的天然气都需要从国外进口,这严重威胁我国能源安全。同时,我国页岩气、煤层气及致密气等非常规资源储量丰富,但非常规储层常具有低孔低渗的特征,需要通过水力压裂增渗后才能具备工业产能。另一方面,这些低渗储层中含有大量的天然裂缝,水力裂缝与天然裂缝相互作用且其缝网形成机理仍尚不明确,含天然裂缝储层水力压裂效果评估仍然十分困难。
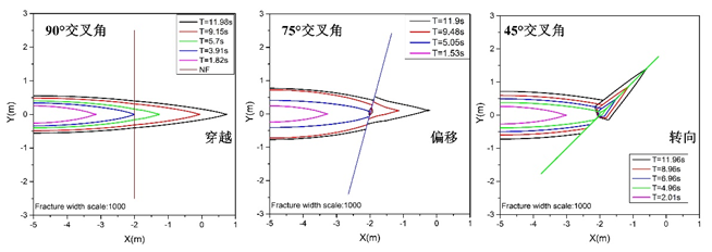
针对这一问题,中国科学院武汉岩土力学研究所杨典森研究员带领团队基于扩展有限元数值方法,提出了考虑压裂液滤失效应的渗流—应力耦合压裂模型,解决了扩展有限元交叉裂缝处理难题;针对水力裂缝与天然裂缝相互作用问题,提出了一种基于应力—能量的裂缝穿越判断准则,实现了水力裂缝穿透/转向/终止/偏移等各种不同相互作用行为的准确模拟。基于提出的渗流—应力耦合水力压裂模型和裂缝穿越判断准则,系统研究了天然裂缝的力学与渗透特性、施工参数及岩石基质参数对含裂缝储层压裂效果的影响,揭示了可渗透介质中水力裂缝与天然裂缝相互作用机理。
相关研究成果发表于Computers and Geotechnics、Rock Mechanics and Rock Engineering及Engineering Fracture Mechanics等主流期刊,研究工作获得科技部创新领军人才项目、国家自然科学基金面上项目、中国科学院创新交叉团队项目的资助。
论文链接1:https://www.sciencedirect.com/science/article/pii/S0266352X1930076X
论文链接2:https://link.springer.com/article/10.1007/s00603-020-02054-x
论文链接3:https://www.sciencedirect.com/science/article/pii/S001379442030758X
(a)位移场
(b)渗流场
图1 基于扩展有限元的交叉裂缝处理策略
(a)孔压云图(单位:Pa)
(b)位移云图(单位:m)
图2 含交叉裂缝饱和多孔介质孔压与位移云图

(a)裂缝开度变化过程(单位:m)
(b)孔压云图(单位:Pa)
图3 水力裂缝与天然裂缝相互作用过程
图4不同天然裂缝分布密度下的裂缝开度云图(单位:mm)
(文/图 施工过程组)
科技服务