工作动态
人工湿地系统中自上而下的氧化还原电位梯度,具备了形成电池的阴、阳极电势差的天然条件;而颗粒导电电极填料则加速了微生物燃料电池与人工湿地的有机融合。通过在垂向不同位置处嵌入电极形成的人工湿地-微生物燃料电池(CW-MFC)技术,可在强化污水净化的同时利用电化学活性菌(EAB)的胞外电子传递过程实现电子的捕获以及传输电压和电流等电信号,进而使有机物中蕴含的化学能转化为电能。CW-MFC型生物传感器正是利用这一原理将污水中的有机物转化为电信号,实现COD的原位监测;同时避免了常规MFC型传感器中阳极和阴极氧化还原环境的频繁维护,以及因容量小、富集的EAB有限而易受冲击负荷影响的问题。

图1 影响CW-MFC型传感器性能的结构参数S
面对众多影响传感性能的参数,该研究从传感器装置结构上着手,将电极位置、电极间距和电极大小等影响传感性能的参数整合简化为结构参数S,定义为阳极导电填料层厚度和非导电隔离层厚度之比(也是阳极体积与电极间距体积之比,也可理解为阳极体积与装置体积比和电极间距体积与装置体积比的比值(图1))。通过研究结构参数S对输出电信号、传感性能以及EAB等功能菌群的影响,揭示该类型传感器的传感机制。

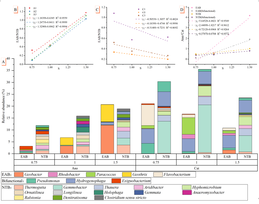
图2 不同S构型CW-MFC对COD的传感性能差异及其机制
研究发现,三种S构型生物传感器虽然在拟合度、检测范围、检测时间和灵敏度等传感性能上存在差异,但均能实现对COD的良好响应。阳极区和阴极区富集的产电功能菌(EAB)和氮转化功能菌(NTB)之间的不同竞争态势是造成传感性能差异的关键(图2)。在不同S构型的传感器中,阳极与阴极区域富集的EAB和NTB均达到了不同程度的稳态平衡,从而使装置表现出不同的电传感性能。此外,在阳极区域,EAB决定着降解有机物传递出的电子数量,而NTB不但与EAB争夺有机底物,还与阳极竞争EAB产生的电子,因而干扰输出电压信号。电荷量由于是时间累积量,因此比电压信号稳定,更适合作检测信号。进一步通过电信号优化发现,当以稳定电压电荷量(Qs)作信号时,在不影响检测效果前提下,检测时间最快缩短70%(图3)。

图3 稳定电压库伦量(Qs)可作为优化传感信号
该研究创新性提出影响CW-MFC型生物传感器性能的结构参数S,并提出以稳定电压库伦量(Qs)为传感信号来实现传感性能优化。实际应用中,CW-MFC还可作为COD超标的预警,甚至通过电信号联网,实现人工湿地系统运行状态的远程监测。
该研究工作近期以“In situ COD monitoring with use of a hybrid of constructed wetland-microbial fuel cell”为题在线发表于《Water Research》上(https://www.sciencedirect.com/science/article/pii/S0043135421011519)。论文第一作者为博士生鲁汭,通讯作者为肖恩荣副研究员。该研究得到国家自然科学基金(No. U20A2010)和湖北省科技创新工程(2019ACA151)的资助。
科技服务