首页 >> 科技服务 >> 工作动态

工作动态

武汉岩土所天然气水合物分解变形研究取得进展

发表日期:2022-01-24来源:武汉岩土力学研究所放大 缩小

  天然气水合物,俗称“可燃冰”,是天然气分子与水分子在相对低温与高压条件下形成的固态化合物,广泛分布于大陆多年冻土地区和深海沉积物层,因其清洁、高效、量大的特点受到世界各国的关注,是一种前景广阔的新型能源。然而,水合物开采目前仍然面临着严峻的挑战,其中一个较高的风险在于水合物开采可能使地层产生显著变形,威胁到开采井的稳定。

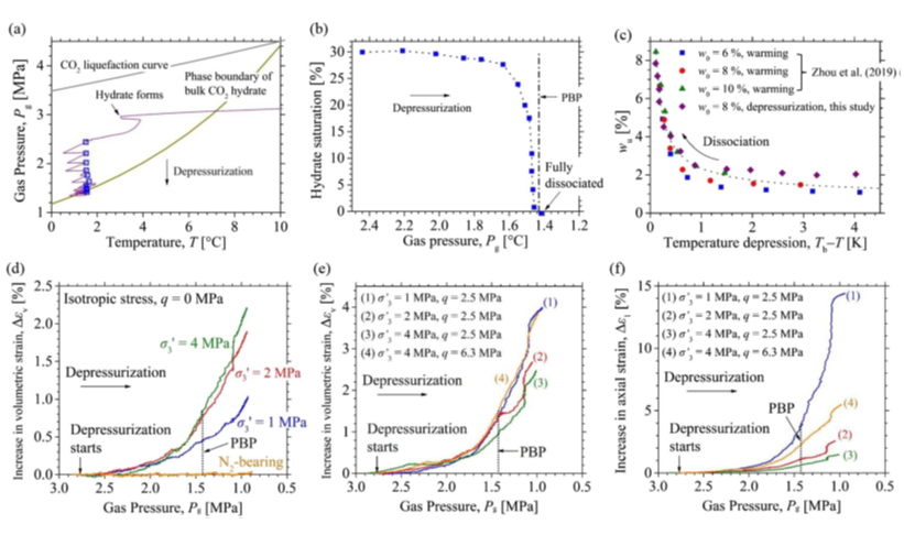
  为此,中国科学院武汉岩土力学研究所土动力学团队在孔隙介质化学-力学理论框架基础上,提出了水合物沉积物的广义相平衡理论,可以充分考虑水合物储层中毛细、吸附和盐分对水合物形成条件的影响。根据广义相平衡理论可以推测,水合物沉积物在稳定区内温-压条件发生改变可以导致孔隙水合物的部分分解,进而造成储层的基本物理力学特性的改变;进一步,研究团队利用自行研发的实验设备,进行了不同温-压路径的分解实验和变形监测,证实了水合物在稳定区发生部分分解并导致水合物沉积物变形。长期以来,科技人员通常只关注水合物储层在跨越相平衡线时的分解,没有意识到水合物稳定区内的分解变形。因此,本研究相关成果扩展了对水合物分解变形机理与规律的认识,为水合物资源开采提供更多有效参考。

  相关研究成果发表于《Journal of Geophysical Research-Solid Earth》,《Journal of Natural Gas Science and Engineering》,《Geophysical Research Letters》等期刊,研究工作获得国家自然科学基金重点项目的资助。

  论文链接1: https://agupubs.onlinelibrary.wiley.com/doi/full/10.1029/2019JB018518

  论文链接2: https://www.sciencedirect.com/science/article/pii/S1875510021000275

  论文链接3: https://agupubs.onlinelibrary.wiley.com/doi/abs/10.1029/2021GL092860

 

图1. 天然气水合物开采方法   

图2. 孔隙介质对水合物形成条件的影响   

图3. 水合物在稳定区内部分分解  

(文/图 土动力学组)

附件: