工作动态
将二氧化碳(CO2)注入深部咸水层、油气藏、煤层等地质体进行长期安全存储和隔离,是近期和中期最有希望的减少CO2排放到大气中的解决方案之一。在CO2注入咸水层的过程中,储层岩石的润湿性是影响CO2地质封存的一个重要因素。目前,通过实验基本可以确定水滴在砂岩表面的润湿角与其影响因素的关系,但是在不同测试环境、温度或者离子浓度等条件下,润湿行为变化情况一般很难在实验中观察到,而且实验现象背后的作用机理也难直接有效的进行解释。分子动力学模拟方法可以规避实验过程中的多因素问题,表征不同因素对润湿性的影响。同时,分子动力学模拟可以观察和检测液滴在岩石表面的微观构型及其润湿行为,并且对其行为特征进行解释。
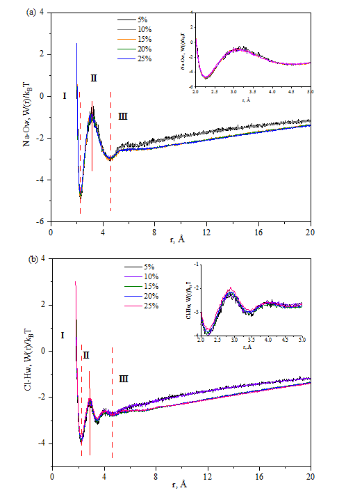
在CO2注入咸水层的过程中,大部分研究忽略了地层水矿化度对岩石润湿性的影响。针对这一问题,中国科学院武汉岩土力学研究所二氧化碳地质封存研究团队以地层水-砂岩体系为例,采用分子动力学方法对不同矿化度地层水在砂岩表面的润湿行为开展了系统的研究。首先,利用体系平衡构型分析体系中阴阳离子分布特征、离子水化作用及阴阳离子间缔合作用,从而阐明离子对水滴在砂岩表面润湿影响机制;其次,通过计算离子与水分子间的平均作用势、盐水体系粒子间的内聚能密度变化及水分子间氢键数变化来综合评价矿化度对水滴在砂岩表面润湿性影响。结果表明,随着盐水浓度的增加,砂岩表面对水的润湿角增大,亲水性减弱,逐步向中性润湿转变。当盐水质量浓度高于15%后,由于离子与离子、离子与砂岩表面及离子与水分子之间的相互作用,导致双电层中Na+和Cl-逐步减少,Na+和Cl-呈现一定的浓度梯度扩散到体相中。通过离子与水分子之间的平均作用势验证了液滴中水分子倾向于在离子周围聚集。溶液中阴阳离子主要以接触离子对和溶剂分离离子对的形式存在,并形成一定程度的离子对网络,进一步提高了水合离子的聚集能力,从而使水分子聚集能力越来越强,降低了水在砂岩表面的润湿能力。
本研究成果得到国家自然科学基金(资助号:41872210和41274111)、岩土力学与岩土工程国家重点实验室开放基金(资助号:Z018004)的共同资助。相关论文已经发表在两相流领域学术期刊Colloids and Surfaces A。
论文链接:https://doi.org/10.1016/j.colsurfa.2021.127807

图1 离子对水在砂岩表面润湿性行为的影响特征

图2 不同盐水浓度下Na-Ow与Cl-Hw间的平均作用势


图3 两种缔合离子对的微观构型:a~d分别为盐水浓度为10%,15%,20%,25%的平衡构象图
(文/图 二氧化碳地质封存组)
科技服务