科研进展
随着我国在山区大量修建桥梁,一种由预应力锚索群和周边岩体组成的新型承载结构——岩锚锚碇,越来越多地用于桥梁工程建设。岩锚锚碇不仅承载力强,与传统的重力式锚碇和隧道式锚碇相比,具有开挖土方量小、施工工艺简单、工期短、对环境影响小等优点,应用前景非常广阔。但因岩锚锚碇的承载机理较为复杂、尚未阐明,岩锚锚碇主要依靠经验设计、基本无规程可循,这极大地增加了桥梁的建设成本和安全风险,因此,迫切需要对岩锚锚碇的承载机理及设计理论和方法进行深入研究。
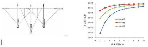
中国科学院武汉岩土力学研究所陈从新研究员率领的研究团队,从实际工程难题出发,通过现场拉锚试验研究、数值模拟研究、现场监测、理论分析,系统地研究了预应力群锚的锚固机理和群锚效应、岩锚锚碇结构与边坡岩体的相互作用机理,提出了岩锚锚碇及锚碇边坡的承载力评价方法与岩锚锚碇设计流程,建立了岩锚锚碇设计理论和方法。相关技术成果应用于南广铁路西江大桥、中缅石油管道澜沧江大桥等重大工程的岩锚锚碇设计与施工,大幅度降低了建设成本,确保了工程的安全建成,取得了良好的社会经济效益。相关理论成果在《岩石力学与工程学报》、《岩土力学》等岩土工程领域重要期刊上发表。

群锚影响示意图 群锚效应系数的变化曲线

岩锚锚碇设计流程 岩锚锚碇承担桥梁施工荷载
新闻