首页 >> 新闻 >> 科研进展

科研进展

水生所在南水北调东线水生态系统健康与大尺度生态格局研究中取得系列重要进展

发表日期:2020-08-21屈霄来源:水生生物研究所放大 缩小

  南水北调工程作为世界上规模最大的跨流域调水工程,在缓解我国北方因干旱缺水而受制约的社会经济发展和生态安全等重大国计民生问题上发挥着积极的作用。南水北调东线工程横跨长江、淮河、黄河和海河四大流域,通过京杭大运河和输水渠道自南向北连通了高宝邵伯湖(即高邮湖、宝应湖、邵伯湖三个湖泊的总称)、洪泽湖、骆马湖、南四湖、东平湖等调蓄湖泊(图1)。自2013年一期工程运行以来,南水北调东线工程累计向我国北方调水达46.0亿m3 

  由于南水北调东线工程调水量巨大,调水工程沿线水体交换频繁,同时受到流域内多重人类活动(如城镇化、工业、农业、采矿业等)干扰影响较大,调水沿线水体及受水地区的水生态系统健康与水质安全一直备受关注。然而,目前关于南水北调东线水生态系统健康与大尺度生态格局的研究还非常匮乏。 

 

  1 南水北调东线研究区域及各水体空间分布示意图(屈霄等,Water Research2020 

  2016年以来,依托中国科学院水生生物研究所淮安研究中心及南水北调东线相关湖泊(洪泽湖、南四湖等)野外生态环境与渔业资源监测站等研究平台,中国科学院水生生物研究所陈宇顺研究员课题组联合谢松光研究员课题组及相关团队对南水北调东线水体的生态本底资料开展了多年连续监测和积累。近期,陈宇顺研究员团队在水生态系统健康及大尺度生态格局研究中取得了一系列重要进展(郭传波等, Science of the Total Environment, 2020a,b; 屈霄等,Water Research2020) 

  1)南水北调东线供水源头区域的水质安全直接关系到下游供水区水质质量,陈宇顺研究员团队首先重点关注了第一梯级供水区高宝邵伯湖泊群水质安全问题 (郭传波等, Science of the Total Environment, 2020a)。研究发现,部分湖区特别是西部和西南部区域存在春季重金属污染和夏季富营养化的风险,淮河及其它入湖河道大量的营养物质和污染物输入以及湖泊周边的农业和水产养殖业的面源污染是潜在的最为关键的两大诱因(图2)。 

 

  2 高宝邵伯湖水质空间格局及季节动态(郭传波等, Science of the Total Environment, 2020a) 

  2)在此研究的基础上,陈宇顺研究员团队近期对东线工程主要调蓄湖群的15项水质监测指标的时空格局进行了研究,同时引入了适宜于东线水体评价的Water Quality Index(WQI) 综合模型,以期全面解析东线工程调蓄湖群水质质量状态(屈霄等,Water Research2020)。研究结果显示,南水北调东线湖泊群水质总体评价为“良”,且呈现由南部输水区至北部受水区水质逐渐变好的趋势(图3, 4)。南部输水区湖泊水体具有较高的营养盐、浊度和总固体悬浮物,北部受水区湖泊则含有较高的电导率、总硬度和氯离子。调水工程一方面改善了我国北方受水区湖泊的缺水状态并潜在地提高了整体的水环境质量,但在一定程度上也加速了污染物在调水系统中的扩散,从而使受水区水体的水质存在一定的污染风险。 

 

  3南水北调东线调蓄湖泊群水质空间分布特征 

 

  4 南水北调东线调蓄湖泊群水质综合质量评价    

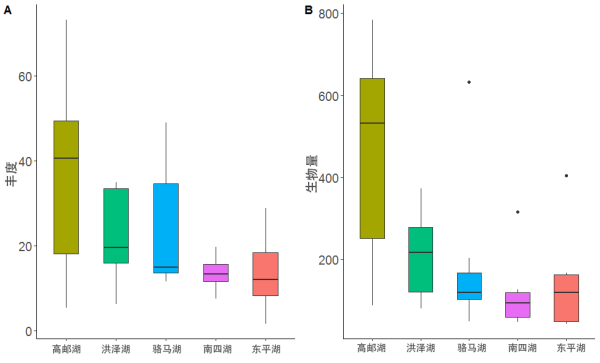
  3)鱼类作为水生态系统中最为关键的生物组成部分,它们处在湖泊食物链的顶端,其群落结构和多样性变化在反映生态系统功能和对外界干扰等方面有着天然的优势。跨流域调水工程连通了原本彼此相对独立的湖泊,打破了原有的生物地理屏障。陈宇顺研究员团队在对南水北调东线工程沿线调蓄湖泊鱼类群落空间大尺度格局研究中发现,沿线湖泊鱼类的丰度和生物量存在从南部输水区湖泊向北部受水区湖泊降低的趋势,下游区湖泊间鱼类群落存在着较为明显的同质化现象。同时,调水也为外来的河口性鱼类提供了在内陆湖泊中扩散的便利(图5, 6)(郭传波等,Science of the Total Environment, 2020b)。 

 

  5 南水北调东线调蓄湖泊群鱼类群落空间分布, A: 丰度,B: 生物量 

 

  6 南水北调东线调蓄湖泊群鱼类群落Jaccard相似性指数    

  以上系列研究论文郭传波博士和博士研究生屈霄分别为第一作者,陈宇顺研究员为通讯作者,夏文彤博士和博士研究生刘晗等参与了该项工作。该系列研究得到了中国科学院前沿科学重点研究计划项目、中国科学院特色研究所项目、中国科学院人才项目、国家自然科学基金项目、国家重点研发计划项目以及淡水生态与生物技术国家重点实验室项目等资助。 

  文章链接: 

  郭传波等,Science of the Total Environment, 2020a 

  https://doi.org/10.1016/j.scitotenv.2019.134543 

  郭传波等,Science of the Total Environment, 2020b 

  https://doi.org/10.1016/j.scitotenv.2020.136515 

  屈霄等,Water Research2020 

  https://doi.org/10.1016/j.watres.2020.116275 

    

附件: