首页 >> 新闻 >> 科研进展

科研进展

武汉岩土所断裂相场理论研究获进展

发表日期:2021-05-24来源:武汉岩土力学研究所放大 缩小

  岩体是一种复杂非均质材料,在地质历史时期发育了大量不同尺度和分布的裂隙、孔洞、节理等缺陷。这些缺陷降低了岩体的工程力学性质,同时也给地下工程建设带来了极大难度和安全隐患。研究表明,岩体工程的失稳破坏大多数是由岩体内微裂隙经历成核、生长等阶段形成宏观裂纹后,进一步扩展贯通导致结构失效引起的。因此通过数值方法预测和分析岩体等脆性材料的裂纹起裂与扩展具有重要意义。

  有限元方法作为经典数值方法,在预测裂纹扩展路径时存在网格重构等问题。为克服有限元模拟裂纹问题的不足,扩展有限元法得以提出,并被越来越多地应用于各类不连续问题的数值计算。但是由于其自身理论的局限性,扩展有限元不能较好地模拟裂隙分叉或多裂纹贯通。近年来,断裂相场理论克服了经典断裂力学理论框架的不足,通过定义一个连续的分布函数来近似表示材料中存在的自由不连续面,并在此基础上建立了最小能量变分理论。目前,有限元方法框架下的相场理论在模拟裂纹的形成和扩展过程中仍存在不足。如预制裂纹缺乏统一的物理模型,对于含有大量复杂节理、裂隙的岩体建立物理模型仍存在较大困难。 

  针对这一问题,中国科学院武汉岩土力学研究所计算岩石力学团队率先提出了基于数值流形法的变分相场理论。该方法整合了相场理论和数值流形法在模拟裂纹扩展方面的优点。相比已有的有限元框架下的相场理论,相场数值流形法显著提高了裂隙物理模型的建立效率和计算精度。 

 

图1 单裂纹离散模型与裂纹扩展路径

 

图2 裂纹扩展过程力-位移曲线 

   

 

图3 多裂纹离散模型与裂纹扩展路径 

  

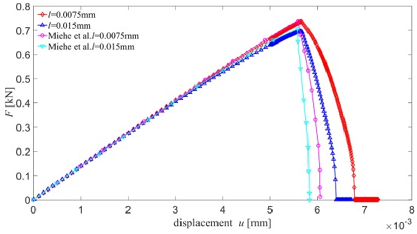
图4 裂纹扩展过程力-位移曲线

  相关研究成果以“A phase field numerical manifold method for crack propagation in quasi-brittle materials”为题,发表在Engineering Fracture Mechanics上,研究工作获得国家自然科学基金项目和中科院青促会项目的资助。 

  论文链接: 

  https://www.sciencedirect.com/science/article/pii/S0013794420310006 

(文/图 计算岩石力学组)

    

    

      

    

附件: