首页 >> 新闻 >> 科研进展

科研进展

武汉岩土所在山区公路弃渣工程中长期环境安全控制方面取得进展

发表日期:2023-03-31来源:武汉岩土力学研究所放大 缩小

  山区公路桥隧比相对较高,面临严重的土石方平衡、环境保护和建设安全挑战。随着国家“青山绿水工程”的实施、水利部“两单制度”的执行和弃渣工程“谁建设谁负责制度”的施行,弃渣工程中长期环境安全问题逐步得到重视。由于弃渣工程的多环节、多阶段和多要素特点,在实施过程中面临全覆盖难题。因此,需要针对实际弃渣工程的动态特点构建新的方法和技术体系实现弃渣工程建设安全和运行安全保障目标。

  中国科学院武汉岩土力学研究所西南区域中心科研团队围绕该问题开展了多年研究,依托云交科教便[2020]98号课题“山区高速公路弃渣场动态稳定性评价方法及综合安全控制技术研究”,利用弃渣工程特性跟踪测试数据,构建了基于粗细比的弃渣工程分类方法,提出了弃渣工程尺度参数快速测试技术,建立弃渣场几何布局快速设计方法,构建弃渣场动态稳定性评价方法和动态设计方法,提出弃渣场综合安全控制技术体系,形成了一套完整的山区公路弃渣工程安全评价和控制体系,主要进展包括:

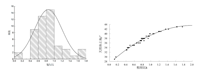
  (1)基于弃渣粒组和休止角的统计分析,证明其具有显著的分组特征。利用粗细比将弃渣分为土类弃渣、土石混合弃渣和石类弃渣,土类弃渣设计坡率≤1:2.0,石类弃渣设计坡率≤1:1.5,土石混合弃渣设计坡率≤1:1.75,弃渣边坡稳定性可得到有效保障。

  (2)提出了综合考虑场地稳定、地基承载安全和边坡稳定的山区公路弃渣场动态稳定性评价方法,将终了静态评估延伸前移,使单一的边坡评价内容扩充为场地、地基、边坡三部分,实现了动态的转变和多环节多阶段的系统整合,更符合实际弃渣过程,可有效保障弃渣工程的施工安全及运营安全。

  (3)构建弃渣工程中长期环境安全的综合安全控制技术体系,保障了系统量化评估,保证了弃渣场不会出现根本性的场地稳定风险;测试项目变少,解决了取样的代表性和试验的代表性难题;坡率、多阶段极限排放坡角的统计特征值、宽台阶分别具有一定保守特征(休止角一般比内摩擦角小5-10?)、整形坡率小于坡角、宽台阶将高边坡分割为几个有限高度弃渣边坡提升了整体稳定性,场地稳定和边坡稳定综合保障了弃渣工程的中长期环境安全,减少和控制了弃渣工程发生事故的风险。

  相关成果应用于西南地区交通工程弃渣场稳定性专题评估中,发表在《岩土力学》、《公路交通科技》和《地球科学与环境学报》等期刊,获得发明专利两项,参编云南省地方标准1项,编写企业指南2项。

  论文链接:

  http://ytlx.whrsm.ac.cn/CN/10.16285/j.rsm.2022.0432

  http://jese.chd.edu.cn/oa/DArticle.aspx?type=view&id=202102015

  http://www.gljtkj.com/CN/10.3969/j.issn.1002-0268.2021.07.006

  会议文章:Yin Xiao-Tao, Dan Lu-Zhao, Tian Ming, et al. Study on a Quick Stability Estimation Method of Spoil Ground’s Slope for Mountainous Traffic Engineering[C],Proceedings of the 9th Academic Conference of Geology Resource Management and Sustainable Development, p448-454, 2022. (EI检索)

  专利:

  [1]中国科学院武汉岩土力学研究所,一种山区公路弃渣场动态稳定性评价方法,CN202111369235.4, 授权,发明专利。

  [2]中国科学院武汉岩土力学研究所,一种弃渣工程中长期环境安全的综合安全控制方法,CN202110601011.5, 授权,发明专利。

 

图1 典型山区公路弃渣工程  

 

图2 弃渣工程特性的统计特征 

  

图3 山区公路弃渣工程分类

附件: