首页 >> 新闻 >> 科研进展

科研进展

武汉岩土所在高温地热生产井井筒结垢研究获进展

发表日期:2023-04-26来源:武汉岩土力学研究所放大 缩小

  地热能是一种储量丰富、分布较广、稳定可靠的可再生能源。大力开发利用地热能,对深入贯彻国家生态文明思想,落实碳达峰、碳中和目标具有重要意义。虽然我国地热供暖已世界第一,但是在地热高质量利用的中高温地热发电方面仍然存在诸多需要解决的问题,其中井筒结垢影响地热开发是非常突出的问题之一。高温地热井筒结垢从物理过程上涉及到井筒水气两相相变流动、结垢物过饱和析出的水文地球化学反应及固体在井筒壁上的粘附等多个过程。

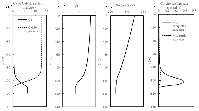
  为此,中国科学院武汉岩土力学研究所科研人员首先基于质量、动量和能量守恒方程,并联合水气速度差模型(漂移流模型)建立了含CO2的高温流体由井底到井口相变流动过程的定量评价模型,然后建立了井筒中的水-气-结垢物的反应溶质运移模型和固体在井筒壁上的吸附模型,并在国际知名软件TOUGHREACT框架内开发了相关的计算模块和软件,可以评价高温地热井筒结垢类型、位置和速率,为防垢除垢提供重要支撑。该模块已经成功用于评价西藏典型高温地热井的结垢评价。

  研究工作得到了国家自然科学基金(41972316)的支持,并获得了中国可再生能源学会团体标准的支持。部分相关成果见以下链接:

  论文1:https://kns.cnki.net/kcms/detail/42.1874.P.20220527.1158.008.html

  论文2:https://kns.cnki.net/kcms/detail/42.1874.P.20220527.1345.017.html

 

图1 井筒碳酸钙结垢概念

 

图2 井筒碳酸钙结垢计算流程

 

图3 可靠性验证

 

图4 西藏典型井两相相变流动计算结果

 

图5 西藏典型井碳酸钙结垢计算结果

附件: