科研进展
腐蚀性海水环境对地下工程锚固结构的稳定性和耐久性提出了重大挑战。其中,锚固结构腐蚀程度受注浆材料性能、腐蚀龄期、应力状态等诸多因素的影响。而注浆材料的抗腐蚀性是抗海水腐蚀的关键问题。
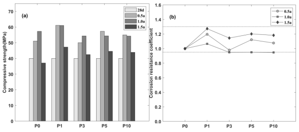
为此,中国科学院武汉岩土力学研究所施工过程力学研究团队基于铁铝酸盐水泥熟料、普通硅酸盐水泥、硬石膏和石灰石粉等材料的制备研发了耐腐蚀新型高强注浆材料。同时,采用不同盐浓度的人工海水溶液,开展了全浸泡方式的加速侵蚀试验。科研人员通过单轴压缩试验、X射线衍射试验、热重分析试验、压汞试验等测试技术,系统研究了新型高强注浆材料的力学性能、膨胀率、氯离子含量、水化产物、微观结构等性能指标的演变规律。结果表明:高强注浆材料的单轴抗压强度随腐蚀龄期的增加呈现先增大后减小的规律。同时,试件的抗蚀系数在0.95~1.30之间变化。随着腐蚀龄期的增加,注浆材料的质量和膨胀率呈对数型增长。高强注浆材料在海水中吸收硫酸根离子,从而促进钙矾石的生成,以此来抵抗硫酸盐腐蚀。另外发现Friedel's salt主要是由氯化物与单硫铝酸盐的硫酸盐离子交换产生的。试验结果证实了研发的新型高强注浆材料具有优异的抗海水中盐腐蚀能力和良好的力学稳定性能,揭示海水侵蚀环境下新型注浆材料侵蚀劣化演化过程的宏细观特征。
研究成果发表于Construction and Building Materials期刊,研究工作得到了国家自然科学基金重大项目课题(No. 51991392)、国家重点研发计划课题(No. 2021YFC3100802、2021YFC3100805)等项目的资助。
论文链接:https://doi.org/10.1016/j.conbuildmat.2023.131056
图1 腐蚀龄期和海水盐浓度对抗压强度的影响 (a)单轴抗压强度;(b)抗蚀系数

图2 不同海水盐浓度下水化产物的演化

图3 不同盐浓度与腐蚀龄期下材料体系中硫元素含量的变化过程
(a) 0.5a,(b) 1.0a,(c) 1.5a
新闻