科研进展
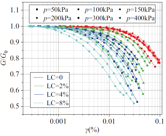
膨胀土为一种具有显著胀缩性的特殊性土,其广泛分布于世界各地并造成各种工程问题。工程中存在各种动荷载如地震、交通荷载和桩基贯入等,使得许多岩土工程结构物如挡墙、地基等常处于小应变状态(<0.1%),因此土体的变形特性受到越来越多的关注。土体小应变剪切模量是分析土体或土工结构物变形特性和动荷载作用下场地动反应所需的关键参数,随着变形的增大,小应变剪切模量通常表现出非线性衰减特性。目前多采用经验模型来描述土体小应变剪切模量的非线性衰减特性,缺乏对土体小应变剪切模量非线性衰减机理的研究。另外,改性膨胀土通常可作为建筑材料铺设路基,为此需要针对性研究交通动荷载下改性膨胀土小应变剪切模量的非线性衰减特性。
中国科学院武汉岩土力学研究所特殊土土力学组研究团队通过共振柱试验系统研究了土体结构、平均有效应力、加卸载应力路径和振动循环次数对膨胀土小应变剪切模量的影响,揭示了土体小应变剪切模量的非线性衰减规律,并提出了反映土体小应变剪切模量演化规律的统一损伤模型。同时,采用石灰对膨胀土进行改性,研究了石灰改性膨胀土小应变剪切模量的非线性衰减特性。研究发现土体小应变剪切模量的非线性衰减特性本质上可看作是土体变形导致的损伤行为,且土体小应变剪切模量的非线性衰减规律均可通过统一损伤模型进行描述。石灰能够很好地提升膨胀土的小应变剪切模量,但同时也增大了膨胀土的脆性,工程中建议采用少量的石灰对膨胀土进行处理。该研究可为小应变范围内岩土工程变形分析提供理论和实际指导。
相关研究成果近期发表于Engineering Geology和Journal of Soils and Sediments期刊上。研究工作获得国家重点研发计划(No.2019YFC1509901)的资助。
论文链接:
https://doi.org/10.1016/j.enggeo.2023.107017
https://doi.org/10.1007/s11368-023-03570-3

图1 膨胀土小应变剪切模量衰减规律

图2 损伤模型结果与试验数据比较

图3 石灰改性膨胀土小应变剪切模量衰减特性

图4 石灰改性膨胀土微观结构特征
新闻