科研进展
近日,精密测量院束缚体系量子信息处理研究组与广州工业技术研究院等研究机构合作,基于超冷40Ca+离子实验平台,实验探索了纠缠作为一种量子资源对于量子引擎的影响。实验结果显示:量子引擎在其工作物质处于纠缠状态时能输出更多的有用功,表明纠缠可以作为一种“燃料”使用。该研究成果于2024年4月30日在物理学领域顶级期刊《Physical Review Letters》上发表。
纠缠在信息处理过程中是一种特有的量子资源,它能加快计算速度、保证通信中的信息安全以及提高测量的精度。但是,目前对于纠缠是否在能量转换和使用方面也能发挥作用仍不完全清楚。具有纠缠特性的量子引擎是否可能优于经典引擎,以及在何种条件下发生这种情况,尚无定论。以量子纠缠系统为工作物质的量子引擎的实验研究更是缺少,且从未有定量的实验验证。
该研究组研究人员以稳定束缚在离子阱中的超冷40Ca+离子为工作物质,设计了一个具有纠缠特性的量子引擎。该量子引擎带有一个量子负载,它由离子所共有的一个量子振动模式来充当。研究人员利用巧妙的热力学循环,让该量子引擎把激光的光子能量通过工作物质(离子)转化为量子负载的声子能量,由此定义了转换效率。另外,为了估算这些转化的能量中有多少是可以提取的能量(即有用功),研究人员还定义了机械效率。按照通常的理解,一个性能优越的引擎应该具有高的转换效率和高的机械效率。
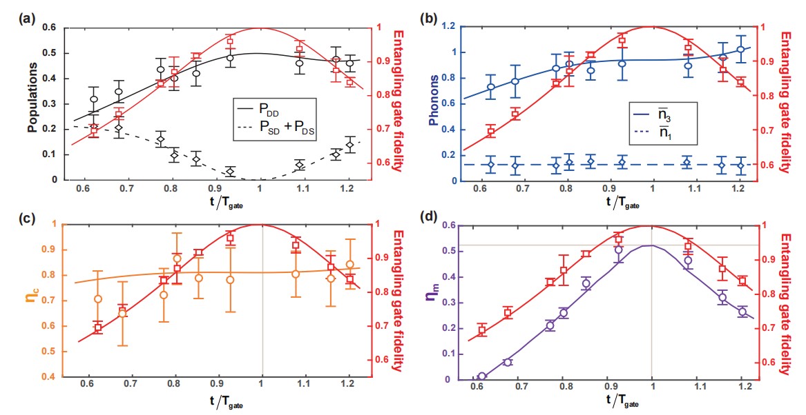
为了验证纠缠在量子引擎中的作用,研究人员通过调整工作物质的纠缠度来定量评估量子引擎的性能。实验中,研究人员通过精准操控激光来控制纠缠逻辑门操作的时间,由此获得不同纠缠度的工作物质。同时,通过测量工作物质中被吸收的光子数和负载中增加的声子数,研究人员得到了不同纠缠度下的转换效率和机械效率,如图一所示。实验表明,机械效率的最大值出现在工作物质为最大纠缠处,但转换效率几乎不受纠缠度的影响。针对实验数据的进一步分析表明,量子引擎在其工作物质处于纠缠态时能输出更多的有用功;而量子引擎的转换效率与纠缠无关,也与有用功的输出无关。

系统特征参数的时间演化
(a)离子的能级布居数和纠缠度随时间的演化
(b)声子和纠缠度随时间的演化
(c,d)能量转换效率和机械效率分别与纠缠度随时间变化
图中点为实验数据,线为理论拟合,误差棒表示10,000次量子测量的统计标准差
该研究成果为纠缠能在量子引擎中起到“燃料”的作用提供了重要的实验证据,同时也说明量子引擎的研发应该更多地关注机械效率,而不是转换效率。这一结论也为研发量子马达和量子电池等微观能源器件提供了新的视角,利用工作物质的纠缠特性提升其最大可提取能量。
该研究以“Energy-Conversion Device Using a Quantum Engine with the Work Medium of Two-Atom Entanglement”为题发表在《物理评论快报》(Physical Review Letters)上。论文的第一作者为博士后章嘉伟,博士生王彬、袁文飞和李加冲为;通讯作者为副研究员周飞和研究员冯芒。
该研究得到国家自然科学基金项目、中国博士后基金项目和广州市多项基金项目的资助。
文章链接:https://link.aps.org/doi/10.1103/PhysRevLett.132.180401
新闻