科研进展
近日,精密测量院束缚体系量子信息处理研究组与广州工业技术研究院、广州工业智能研究院、苏州大学等单位合作,探索了量子速度极限对于量子信息处理的影响,并基于囚禁离子实验平台,实验证实了理论上获得的量子速度的最优上限。该研究通过量子绝热捷径操作第一次给出了量子速度上限的最优表达式,并在实验上显示了真实的量子演化速度可以无限接近但不会超越该上限。这项研究成果2024年5月24日在线发表在物理学领域顶级期刊《物理评论快报》(Physical Review Letters)上。
量子力学中的海森堡不确定原理给出了能量变化与时间之间的权衡关系,由此限制了量子态演化的最大速度。准确理解这种速度限制有助于实事求是地推动量子信息技术的应用。量子绝热捷径方法是量子计算中常用的量子调控手段,是通过增加辅助驱动场的方式实现与传统绝热过程相同的效果,但能够加快量子门操作的速度,有利于在退相干时间内尽快完成相应的量子过程。由于受制于量子速度极限,量子绝热捷径技术到底能将量子态的演化速度提升多少是一个受到广泛关注的问题。基于海森堡不确定原理,辅助驱动场的功耗与量子态演化速度极限之间存在着一种权衡,这种权衡决定了如何以最小化能量成本实现演化速度的极限。
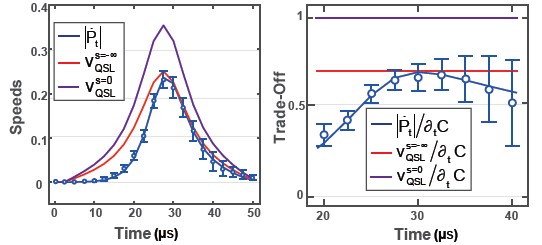
研究人员发现,以往得到的权衡关系并不能准确反映出量子系统真实的演化速度。主要存在的问题有:一、真实的演化速度无法达到理论上求得的量子速度极限。通常使用Cauchy-Schwarz不等式所得到的量子速度极限远远大于真实的演化速度,不能准确反映出量子系统的情况;二、量子速度极限无法真实反映量子态本身的演化趋势,有时甚至是完全相反的描述。在本项工作的理论研究部分,研究人员巧妙地利用s参数化相空间方法对量子速度极限进行二次缩放,从而解决了上述问题。s参数化相空间是一系列相空间的集合,例如,常见的Wigner相空间即s=0情形。由于s参数具有连续性,因此总可以找到所有相空间的一个子集,使得二次缩放后的量子速度极限比以往得到的量子速度极限要更优。研究人员通过紧量子速度极限的严格证明,发现最优量子速度极限可以用以往很少关注的s=-∞相空间来描述,由此提出了一个辅助驱动场的功耗与量子态演化速度极限之间新的权衡关系表达式。
针对以上理论上的结论,研究人员运用离子阱量子操控技术做了验证。离子阱系统是世界上公认的在相干时间,量子态制备、量子态操作和测量等关键参数全面超过量子容错计算阈值的系统,是目前最有希望展现量子技术应用优越性的物理系统之一。在本项工作中,研究人员基于钙离子量子精密测量平台,运用量子绝热捷径技术执行了著名的朗道-齐纳模型(Landau-Zener model)。首先是借助单个超冷钙离子的三能级结构,利用机器学习等辅助手段精确制备了不同的初态。然后通过激光的精准操控,测量到体系的真实量子速度,并与理论结论作对比。结果显示,相比以前的理论结果,本项研究中获得的量子速度极限能够真实地反映量子态的演化速度和趋势,更准确地代表了量子速度的极限,即量子速度的最优极限。

(左):实际速度与两种量子速度极限随时间演化的比较。(右):在朗道-泽那模型的免交叉时间窗口内,实际的量子速度-功耗权衡关系与理论上的量子速度-功耗权衡关系之间的对比。其中蓝色数据点为实验测量值,蓝色线条为对实验值的拟合,误差棒为50,000次测量的标准差;红色线条为本项目得到的理论结果;紫色线条为原来文献中的理论结果
该研究成果为量子信息处理中速度与功耗之间的权衡建立了一个更为准确的解析不等式,并在实验上做了精准的检验。这有助于人们更深入地理解量子力学的基本原理,也能加深对量子技术中内禀存在的根本性限制的理解。
该研究以“Single-Atom Verification of the Optimal Trade-Off between Speed and Cost in Shortcuts to Adiabaticity” 为题发表在《物理评论快报》(Physical Review Letters)上。论文的共同第一作者为博士后章嘉伟、博士生卜锦涛、本科生孟维权和博士后李加冲;通讯作者为苏州大学徐震宇教授、精密测量院周飞副研究员和冯芒研究员。
该研究得到国家自然科学基金项目、中国博士后基金项目和广州市多项基金项目的资助。
文章链接:https://journals.aps.org/prl/abstract/10.1103/PhysRevLett.132.213602
新闻