科研进展
近日,精密测量院江开军研究团队在超冷费米气体非平衡动力学研究领域取得重要研究进展。研究团队实验制备了球形幺正费米气体,发现体系在自由飞行过程中的动力学演化满足标度不变性,通过测量呼吸模式证明体系具有SO(2,1)对称性。该研究成果于2024年6月12日发表在物理学权威期刊《物理评论快报》(Physical Review Letters)上,同时被遴选为编辑推荐文章(Editors' Suggestion)。
对称性在物理学中占据着举足轻重的地位,它不仅彰显了自然界的基本规律,更成为理解、描述和预测物理现象的关键工具。对称性描述的是物理系统在面对诸如空间坐标变换、时间反演或内部自由度变换等操作时,其性质仍能维持不变的特性。凭借对称性原理,人们能够简化问题的求解复杂度,更直观地理解和预测物理现象。标度不变性(Scale Invariance)是指一个物理体系在经历空间或时间尺度的缩放变换后,其内在性质或结构保持不变的特性。这种性质在物理学、数学和天文学等多个领域中具有重要的应用和研究价值,为探索不同体系的普适规律提供了理论支持。
幺正费米气体,其s波散射长度趋近无穷大,为标度不变体系。当这种气体被装载到一个各向同性的偶极势阱中时,体黏度和剪切黏度对体系自由膨胀过程的影响会消失,体系将展现出全方位的标度不变膨胀行为。同时,对势阱中的体系而言,其哈密顿量满足SO(2,1)李代数关系,这一关系预示着体系将拥有一些独特的集体激发模式。研究球形幺正费米气体的动力学行为对加深理解强关联体系中的非平衡动力学演化很重要,然而,在实验上制备这样的气体却颇具挑战。
为了克服这一难题,研究人员创新性地利用两束椭圆激光来构建各向同性的光偶极阱。他们通过三透镜系统和PID控制系统对光阱的非球度进行了精细的调控,同时利用特定的梯度磁场来消除重力的影响。进一步地,他们借助磁场Feshbach共振技术,调控了原子间的相互作用强度,使体系成功进入了幺正区域。在成功获取6Li原子简并费米气体后,他们利用光阱转移技术将费米气体转移到了各向同性的光偶极阱中,并通过进一步蒸发冷却获得了超低温的球形幺正费米气体。

球形幺正费米气体示意图
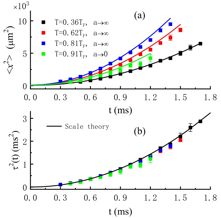
在自由膨胀实验中,研究人员发现球形幺正费米气体展现出独特的标度不变性,这种性质不依赖于方向和温度条件,是各向异性体系所不具备的。他们进行了精确测量,结果显示体系在不同温度下的内能和势能相等,这验证了幺正费米气体的维里定理。此外,研究团队还观察了体系的呼吸模式,发现其振荡频率恰好为囚禁频率的两倍,并且模式的衰减率极低,这为体系具有SO(2,1)对称性提供了实验支持。他们还测量了标度不变性被破坏时体系的自由膨胀行为,并在BEC-BCS渡越区间获得了连接化学势与原子密度的有效指数,实验结果与平均场理论计算定性一致。

不同温度条件下幺正费米气体的膨胀行为满足标度不变性
(a)不同温度条件下幺正费米气体的自由膨胀行为。作为比对,图中还显示了无相互作用理想气体的膨胀行为
(b)经过标度变换后,幺正费米气体和无相互作用费米气体的膨胀行为相同

球形幺正费米气体的呼吸模式振荡行为
该研究工作揭示了球形幺正费米气体的标度不变性,并首次对具有SO(2,1)对称性的三维超冷费米气体进行了实验研究,为将来研究具有共形不变性体系的非平衡动力学行为奠定了基础。
研究成果以“Scale Invariance of a Spherical Unitary Fermi Gas” 为题发表在《物理评论快报》(Physical Review Letters)上。精密测量院博士生王璐、博士后严祥传和博士生闵靖为共同第一作者,助理研究员孙大立和研究员江开军为通讯作者。
该研究得到国家重点研发计划、国家自然科学基金、中国科学院和湖北省等项目的资助。
文章链接:https://journals.aps.org/prl/abstract/10.1103/PhysRevLett.132.243403
新闻