科研进展
夜间人造光(ALAN)是现代城市环境中常见的光污染源,渔业生产中的精准捕捞和养殖环境营造、水电环保中的过鱼设施灯光诱趋鱼、水域沿岸城市中的灯光秀和街道照明等,均属于ALAN范畴。ALAN的光谱组成与自然光源(如太阳光或月光)截然不同,尤其是随着LED等现代照明技术的普及,其光谱范围更加广泛,对自然环境的影响更为深远。既往研究表明,ALAN会扰乱陆生生物的昼夜节律,但其对水生脊椎动物影响及其代际效应尚不清楚。斑马鱼作为一种广泛应用的模式生物,具有高度敏感的光感受器,是研究光污染影响的理想对象。

图1 ALAN的全球分布情况

图2 ALAN的亚洲分布情况
近日,中国科学院水生生物研究所段明研究员团队,联合德国马克思普朗克动物行为研究所(MPIAB)和瑞典农业科学大学(SLU)的研究人员,基于自主搭建的水生动物多模态(行为&形态)智能分析技术平台(ZL202111227436.0,ZL202110235936.2,ZL202120460062.6,ZL202020951114.5,ZL202021668003.X),揭示了不同光谱的夜间人造光对斑马鱼(Danio rerio)行为的影响,阐明了该影响的代际传递效应。这一研究为深刻理解光污染对水生生物的生态适应性影响提供了新见解。该研究以“Behavioural and transgenerational effects of artificial light at night (ALAN) of varying spectral compositions in zebrafish (Danio rerio)”为题,近日在线发表于《Science of The Total Environment》期刊(文章链接:https://doi.org/10.1016/j.scitotenv.2024.176336)。水生所与德国马克思普朗克动物行为研究所联合培养的博士毕业生李威威为论文第一作者,水生所段明研究员为论文通讯作者。

图3 实验平台与关键发现
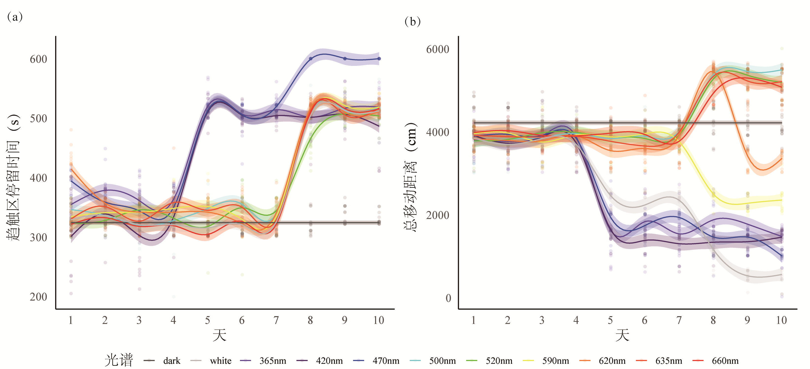
为深入探讨不同光谱的ALAN对斑马鱼行为的影响,研究团队基于上述智能分析技术平台精确控制光谱条件,将雌性斑马鱼暴露于十种不同波长的单色LED光源下,波长覆盖从紫外线365 nm到红光660 nm,以及标准白光4500 K。实验持续10天,涉及对成年斑马鱼及其后代仔鱼的行为分析。研究人员详细量化了斑马鱼的多项行为指标,包括:
·总游泳距离:斑马鱼在测试区中的运动总距离。
·区域停留时间:斑马鱼在不同测试区(如中心区center zone、转移区transition zone和趋触区thigmotaxis zone)中的停留时间。
·焦虑行为:如趋壁行为的持续时间。
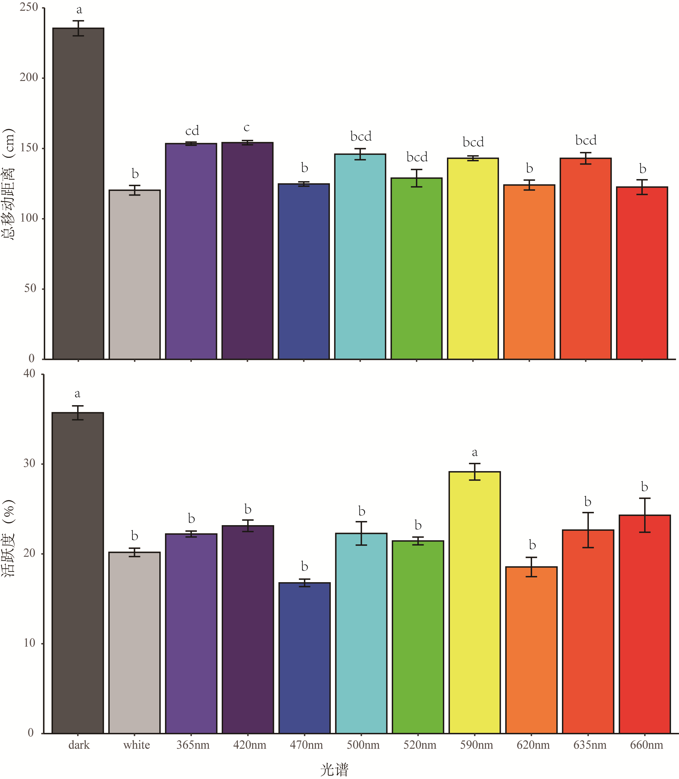
此外,研究还测量了这些暴露雌鱼的后代在正常光照条件下的移动距离和活跃度,以探讨ALAN对下一代行为的潜在影响。
研究结果表明,所有波长的夜间人造光均显著增加了个体和群体斑马鱼的趋壁行为(thigmotaxis),表现出明显的焦虑效应。但短波长光(365 nm、420 nm和470 nm)的影响更为显著(图4,5)。此外,研究还发现,即使斑马鱼的后代从未直接暴露于ALAN下,其母代受到的光照影响仍会通过代际效应传递,导致子代的运动行为发生改变(图6)。这一跨代效应表明,现代城市中的灯光秀、渔业生产中的灯光诱捕以及过鱼设施中的灯光集诱鱼等现代技术均可能对鱼类的行为和适应性产生跨代的长期影响。

图4 雌性斑马鱼个体在趋触区的停留时间和移动总距离随时间变化的趋势分析

图5 雌性斑马鱼群体在趋触区的停留时间、移动总距离和个体间邻距离随时间变化的趋势分析

图6 暴露在不同光谱下的雌性斑马鱼后代的总移动距离和活跃度
该研究得到科技部国家重点研发计划“智能传感器”重点专项(2022YFB3206900)和“海洋农业与淡水渔业科技创新”重点专项(2023YFD2400600)、中国科学院“中央级科学事业单位改善科研条件专项资金”科研装备项目(GSZXKYZB2023019)、中国科学院基础与交叉前沿科研先导专项(B类先导专项)项目(XDB0730100)、国家自然科学基金面上项目(32172955)等资助。
新闻