科研进展
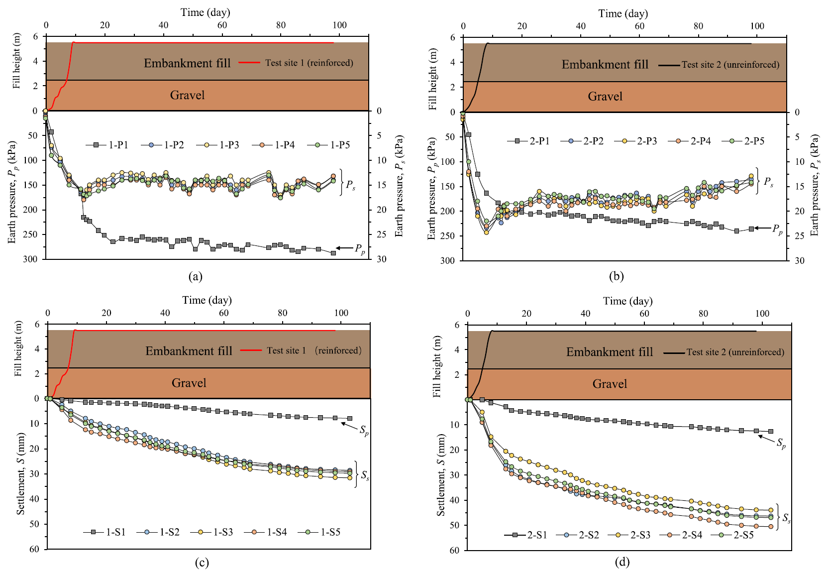
武汉智能网联汽车测试场是目前国内面积最大、功能最全、智能化最高的测试场,是世界唯一一个F2级赛车赛道和T5级测试场结合的封闭测试场项目。该项目场地位于长江一级阶地,路基下覆新旧两层河床软土层,具有承载力低、压缩性高、加载易产生过度沉降和不均匀沉降的不良工程性状。由于赛道线性极为复杂,部分区域为三维曲面,设计时速达300公里,这就要求赛道沉降标准严格控制在4米范围内高差不超过3毫米,平整度要求为1/2000,其设计要求比标准比机场跑道还要高。
针对如此复杂的地层条件与苛刻的设计标准,中国科学院武汉岩土力学研究所特殊土力学团队张先伟研究员和王港博士研究生等人在项目施工初期就入驻现场,开展了长周期大型足尺的试验段路基沉降监测与评估的科研工作,通过对堆载过程中的地下水、土压力、孔隙水压力、地表沉降、深层土的竖直沉降和水平位移进行监测,结合室内试验与数值模拟,预测与评估了运营期赛道的沉降,提出了PHC管桩和CFG桩的施工工法,并被设计方采纳,这为武汉智能网联汽车测试场的安全稳定性提供了技术支撑。
结合本项目,提出了软土桩基负摩阻力中性点的时间效应与计算方法,研发了“赛车场跑道软土路基工后沉降预测软件”和“三向土工格栅加固赛车场软土路基技术效果的分析软件”等工程软件6项;授权了“一种测试软土地区PHC桩负摩阻力中性点的现场试验方法”和“一种CFG桩复合地基桩土荷载分担比的原位试验方法”等中国发明专利4项;在Journal of Geotechnical and Geoenvironmental Engineering、Transportation Geotechnics、International Journal of Geomechanics、工程地质学报等国内外期刊发表学术论文6篇;研究成果被国际工程领域著名机构Advances in Engineering(AIE)遴选为关键科学文章。本项目得到了武汉智慧生态建设投资有限公司、中建二局等单位的大力支持、以及中国科学院青年创新促进会优秀会员的资助。
论文链接:
1、https://ascelibrary.org/doi/abs/10.1061/%28ASCE%29GT.1943-5606.0002748
2、https://www.sciencedirect.com/science/article/pii/S2214391222001283
3、https://ascelibrary.org/doi/abs/10.1061/IJGNAI.GMENG-8349
4、https://www.springerprofessional.de/en/large-scale-field-tests-of-the-performance-of-geogrid-reinforced/26516352
报道链接:https://advanceseng.com/stability-load-transfer-soft-soil-foundations-using-geosynthetic-reinforced-pile-supported-embankments-international-motor-racing-circuit/

图1 建成的武汉智能网联汽车测试场

图2 现场试验照片

图3 监测结果

图4 数值模拟结果

图5 AIE报道页面
新闻