科研进展
中国科学院武汉岩土力学研究所在干热岩裂隙换热量化表征领域取得新进展,相关研究成果发表于《Journal of Rock Mechanics and Geotechnical Engineering》等权威期刊。该研究创新性地构建了裂隙内部流体与裂隙壁面的高精度温度场解析解,提出了干热岩综合换热系数(OHTC)计算新公式,并成功实现了现场尺度数值模拟应用。研究成果不仅丰富了岩体裂隙流动换热理论,也为干热岩地热资源的评价与开发提供了重要的理论支撑和方法依据。
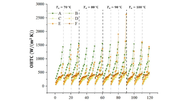
干热岩作为一种清洁、可再生且储量巨大的非碳基新能源,其开发利用对实现"双碳"目标具有重要意义。在干热岩地热资源的开发过程中,裂隙网络的有效激发与流体循环注采是关键,而准确的裂隙换热系数模型则是资源定量评价与开发预测的基础。然而,在一类典型的岩体裂隙换热试验中,由于裂隙壁面与裂隙流体的精确温度场解析解长期缺失,研究多采用简化和近似方法构建换热系数模型,导致在较高流速条件下易出现数值震荡或较大偏差。尽管部分实用模型表现出较好的稳健性并被纳入行业标准,但不同模型间的准确性评估仍缺乏客观标准。
针对上述问题,武汉岩土所岩土工程前沿交叉研究中心(筹)白冰研究员及团队,依托在干热岩裂隙换热领域的长期研究基础,采用实验测试、解析建模与数值模拟相结合的方法开展研究,力图得到更客观的换热系数模型。团队首先在实验测试数据指导下开发并验证了数值模型,通过3D单裂隙换热模拟揭示了换热特性规律;基于此提出数值换热系数(NHTC)并实现算法化,其核心是将换热系数作为裂隙换热模型的反演参数,通过物理试验与数值试验数据联合确定。
进一步,团队提出回避偏微分方程组直接求解的困难,转而直接构造裂隙壁面与流体温度场。在实验数据特别是3D模拟结果的启发下,结合流动边界层模型,成功获得与3D数值模拟结果高度吻合的温度场解析解。基于这一结果,进一步导出裂隙对流换热系数新公式,并证明该公式可有效避免异常换热系数的产生,是目前具有客观性的裂隙总体换热系数公式,可用作试验数据处理中的换热系数定义式。
同时,为提升研究成果的工程应用价值,团队以上述换热系数定义式为基准形成可直接嵌入数值模拟器的换热系数关联式,并在数值模拟器中实现该方案。以青海共和干热岩示范工程为背景进行算例验证,取得了积极效果。这一研究成果为干热岩地热资源开发提供了重要的理论依据和技术支撑。
此项研究得到了国家自然科学基金项目(Grant Nos. 41972316 , 41672252)的资助,本所研究生和联合培养研究生参与了相关工作。
论文链接:
1. https://doi.org/10.1016/j.jrmge.2024.03.044
2. https://link.springer.com/article/10.1007/s10765-020-02691-y
3. https://d.wanfangdata.com.cn/periodical/cdlgxyxb202203011
4.https://kns.cnki.net/kcms2/article/abstract?v=F7lgbn8YeJrleSX104_7oVTsoi9vyECmAxx8fagKy9Cqjr4VOc2LRP0RuUHyPzJr4CHGTe6y1rbjOsC3-j4YCY6XpequIis8TuqJjoygGpVsZwej7YKa7GaqwYX6tu0i8-7NSNNQIDQRDax02PwtOv8CWtKDdHInjl7IdG1eEIUOWz2TfuhHflRCxss7TQE6&uniplatform=NZKPT&language=CHS

图1 三维条件下单裂隙换热流体和壁面的温度场:解析解与数值解的比较

图 2一组流动换热试验数据集上不同换热系数的公式比较(A为本方法)

图3 场地尺度采热算例的温度场分布特征
新闻